Published : July 04, 2019
You might be interested in:
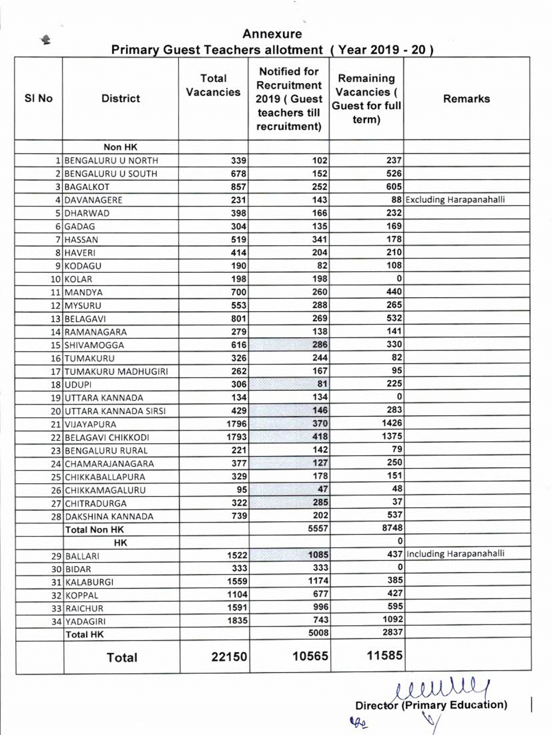
Title:-About Temporary Appointment of Teachers for the Vacancies of Teachers in Government Primary Schools in the State by 2019-20
File Type:-Circular
File Language :-Kannada
Which Department :-Education
State :-Karnataka
Published Date:-04-07-2019
Which Department :-Education
State :-Karnataka
Published Date:-04-07-2019
File Format :-Image
File Size :--
Number of Pages :--
Scanned Copy :- yes
Editable Text :- No
Copy Text :- no
Print Enable :- Yes
Quality :- high
File size Reduced :- no
Password Protected :- No
Password Encrypted:- no
Image File Available :- yes
File View Available :- Yes
Download Link Available :- yes
Cost :- No Cost(Free)
File Size :--
Number of Pages :--
Scanned Copy :- yes
Editable Text :- No
Copy Text :- no
Print Enable :- Yes
Quality :- high
File size Reduced :- no
Password Protected :- No
Password Encrypted:- no
Image File Available :- yes
File View Available :- Yes
Download Link Available :- yes
Cost :- No Cost(Free)
Personal use only


0 Comments